#wannabeeeeeee the best DataScientist
PCA + Python_Code 본문
728x90
◎ 차원의 저주
- 차원이 커질수록 한정된 자료는 커진 차원의 패턴을 잘 설명하지 못한다.
- 차원이 증가함에 따라 model complexity가 기하급수적으로 높아진다.
- 주성분분석(PCA)은 서로 상관관계를 갖는 많은 변수를 상관관계가 없는 소수의 변수로 변환하는 차원축소 기법
◎ 공분산 행렬(Covariance matrix)의 정의
- 공분산 행렬은 일종의 행렬로써, 데이터의 구조를 설명해주며, 특히 특징 쌍(feature pairs)들의 변동이 얼마나 닮았는가(다른 말로는 얼마만큼이나 함께 변하는가)를 행렬에 나타내고 있다.


◎ Principal Components
- 차원을 줄이면서 정보의 손실을 최소화하는 방법
- 변환에 사용하는 소수의 변수를 주성분(Principal component) 또는 성분(component)이라고 함
☆ PC를 얻어내는 것
- 공분산이 데이터의 형태를 변형시키는 방향의 축과 그것에 직교하는 축을 찾아내는 과정
◎ PCA 수학적 개념 이해
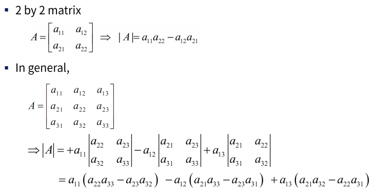
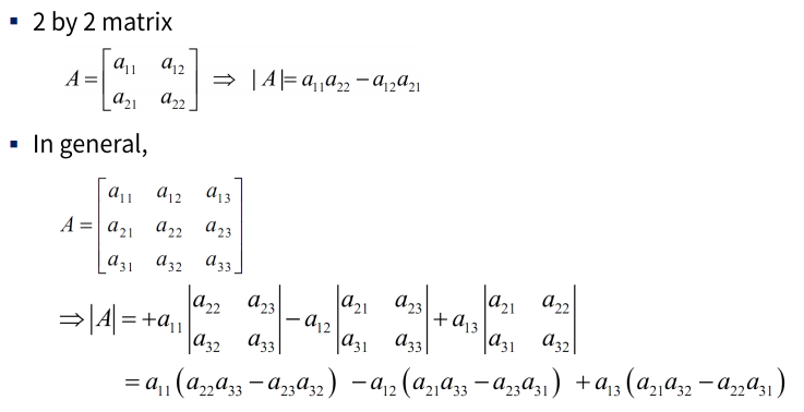
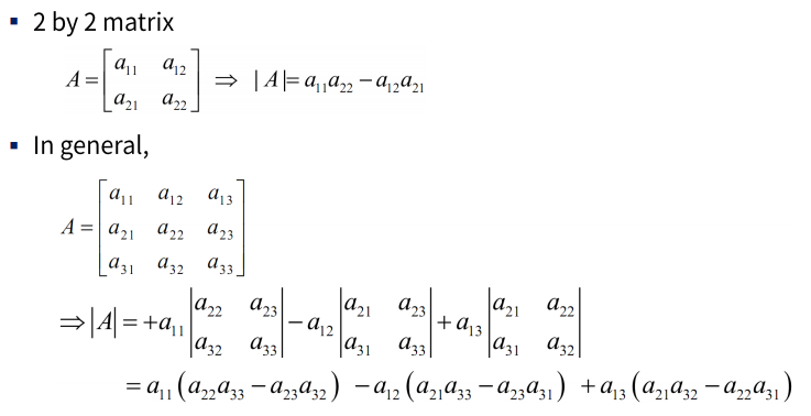
ⓐ 행렬식(determinant), det(A) 구하기


ⓑ Eigen value


ⓒ Singular Value Decomposition (SVD)

◎ PCA 수행 과정
- Mean centering
- SVD 수행
- SVD 결과를 활용하여 공분산의 eigen vector, eigen value 구하기
- PC score 구하기
- PC score를 활용하여 분석 진행
◎ Kernel PCA
- 관측치 사이의 패턴이 존재하는 것으로 보이나, 변수 간의 선형 관계가 아닐 때
- K (Kernel matrix)는 관측치 사이의 유사도 개념
- 비슷한 관측치일수록 큰 값(서로 이질적인 관측치일수록 작은 값)
Principal compoenet analysis 실습 Code¶
대부분의 머신러닝을 모듈에 포함하고, 이에 대한 예제와 정보가 담겨있는 웹사이트 참고: https://scikit-learn.org
1. 데이터 전처리 및 데이터 파악¶
- scikit-lean 패키지에서 데이터와 PCA 로드.
In [1]:
from sklearn import datasets
from sklearn.decomposition import PCA
- 자료 처리에 도움을 줄 pandas, numpy와 시각화를 위한 pyplot, seaborn 로드.
In [2]:
import pandas as pd
import numpy as np
import matplotlib.pyplot as plt
import seaborn as sns
- iris 데이터를 불러오고, 구조를 살핌.
In [3]:
iris = datasets.load_iris()
dir(iris)
Out[3]:
['DESCR',
'data',
'feature_names',
'filename',
'frame',
'target',
'target_names']
- 설명의 편의를 위하여, 독립변수 중 처음 2개만을 사용.
In [4]:
X = iris.data[:,[0,2]] #변수 2개만 활용
y=iris.target
In [7]:
iris.feature_names
Out[7]:
['sepal length (cm)',
'sepal width (cm)',
'petal length (cm)',
'petal width (cm)']
In [5]:
print(X.shape)
feature_names=[iris.feature_names[0],iris.feature_names[2]]
df_X = pd.DataFrame(X)
df_X.head()
(150, 2)
Out[5]:
| 0 | 1 | |
|---|---|---|
| 0 | 5.1 | 1.4 |
| 1 | 4.9 | 1.4 |
| 2 | 4.7 | 1.3 |
| 3 | 4.6 | 1.5 |
| 4 | 5.0 | 1.4 |
In [8]:
print(y.shape)
df_Y = pd.DataFrame(y)
df_Y.head()
(150,)
Out[8]:
| 0 | |
|---|---|
| 0 | 0 |
| 1 | 0 |
| 2 | 0 |
| 3 | 0 |
| 4 | 0 |
- 결측치 여부를 파악.
In [9]:
print(df_X.isnull().sum())
print(df_Y.isnull().sum())
0 0
1 0
dtype: int64
0 0
dtype: int64
In [10]:
print(set(y))
iris.target_names
{0, 1, 2}
Out[10]:
array(['setosa', 'versicolor', 'virginica'], dtype='<U10')
- 종속 변수 (출력변수, 반응변수)의 분포를 살핌.
In [11]:
df_Y[0].value_counts().plot(kind='bar')
plt.show()
- 독립 변수 (속성, 입력변수, 설명변수)의 분포를 살핌.
In [12]:
for i in range(df_X.shape[1]):
sns.distplot(df_X[i])
plt.title(feature_names[i])
plt.show()
C:\work\envs\datascience\lib\site-packages\seaborn\distributions.py:2557: FutureWarning: `distplot` is a deprecated function and will be removed in a future version. Please adapt your code to use either `displot` (a figure-level function with similar flexibility) or `histplot` (an axes-level function for histograms).
warnings.warn(msg, FutureWarning)
C:\work\envs\datascience\lib\site-packages\seaborn\distributions.py:2557: FutureWarning: `distplot` is a deprecated function and will be removed in a future version. Please adapt your code to use either `displot` (a figure-level function with similar flexibility) or `histplot` (an axes-level function for histograms).
warnings.warn(msg, FutureWarning)
2. PCA 함수 활용 및 아웃풋 의미파악¶
- PCA 함수를 활용하여 PC를 얻어냄. 아래의 경우 PC 2개를 뽑아냄.
In [13]:
pca = PCA(n_components=2)
pca.fit(X)
Out[13]:
PCA(n_components=2)
- 아래와 같이 PC score를 얻어냄. 아래의 PC score를 이용하여, 회귀분석에 활용할 수 있음.
In [14]:
PCscore = pca.transform(X)
PCscore[0:5]
Out[14]:
array([[-2.46024094, -0.24479165],
[-2.53896211, -0.06093579],
[-2.70961121, 0.08355948],
[-2.56511594, 0.25420858],
[-2.49960153, -0.15286372]])
In [15]:
eigens_v = pca.components_.transpose()
print(eigens_v)
[[ 0.39360585 -0.9192793 ]
[ 0.9192793 0.39360585]]
In [16]:
mX=np.matrix(X)
for i in range(X.shape[1]):
mX[:,i]=mX[:,i]-np.mean(X[:,i])
dfmX=pd.DataFrame(mX)
In [17]:
(mX*eigens_v)[0:5] # PC스코어와 동일
Out[17]:
matrix([[-2.46024094, -0.24479165],
[-2.53896211, -0.06093579],
[-2.70961121, 0.08355948],
[-2.56511594, 0.25420858],
[-2.49960153, -0.15286372]])
In [18]:
plt.scatter(PCscore[:,0],PCscore[:,1])
plt.show()
3. PC를 활용한 회귀분석¶
- 이번에는 모든 독립변수를 활용하여 PC를 뽑아냄.
In [20]:
X2 = iris.data
pca2 = PCA(n_components=4)
pca2.fit(X2)
Out[20]:
PCA(n_components=4)
In [21]:
pca2.explained_variance_
Out[21]:
array([4.22824171, 0.24267075, 0.0782095 , 0.02383509])
In [22]:
PCs=pca2.transform(X2)[:,0:2]
In [23]:
from sklearn.linear_model import LogisticRegression
from sklearn.metrics import confusion_matrix
- 모델의 복잡성으로 인하여 기존 자료를 이용한 분석은 수렴하지 않는 모습.
In [24]:
cif = LogisticRegression(solver='sag',multi_class='multinomial').fit(X2,y)
C:\work\envs\datascience\lib\site-packages\sklearn\linear_model\_sag.py:328: ConvergenceWarning: The max_iter was reached which means the coef_ did not converge
warnings.warn("The max_iter was reached which means "
- PC 2개 만을 뽑아내여 분석한 경우 모델이 수렴.
In [25]:
cif2 = LogisticRegression(solver='sag',multi_class='multinomial').fit(PCs,y)
In [26]:
confusion_matrix(y,cif2.predict(PCs))
Out[26]:
array([[50, 0, 0],
[ 0, 47, 3],
[ 0, 2, 48]], dtype=int64)
- 임의로 변수 2개 만을 뽑아내여 분석한 경우 모델의 퍼포먼스가 하락함.
In [27]:
clf = LogisticRegression(solver='sag', max_iter=1000, random_state=0,
multi_class="multinomial").fit(X2[:,0:2], y)
In [28]:
confusion_matrix(y, clf.predict(X2[:,0:2]))
Out[28]:
array([[49, 1, 0],
[ 0, 37, 13],
[ 0, 14, 36]], dtype=int64)
- 위와 같이, 차원축소를 통하여 모델의 복잡성을 줄이는 동시에 최대한 많은 정보를 활용하여 분석할 수 있음.
In [29]:
from IPython.core.display import display, HTML
display(HTML("<style>.container {width:80% !important;}</style>"))
728x90
'Data scientist > Machine Learning' 카테고리의 다른 글
| K-NN + Python_Code (0) | 2021.08.25 |
|---|---|
| Naive Bayes + Python_Code (0) | 2021.08.25 |
| 회귀분석(4)_로지스틱 회귀분석 (0) | 2021.08.21 |
| 회귀분석(3)_변수선택법 Code (0) | 2021.08.21 |
| 회귀분석(2)_Code (0) | 2021.08.19 |