#wannabeeeeeee the best DataScientist
Naive Bayes + Python_Code 본문
728x90
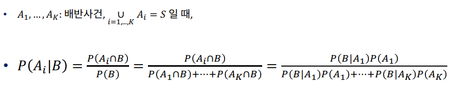
◎ 수학적 개념 이해
※ 조건부 확률

※ 베이즈 정리

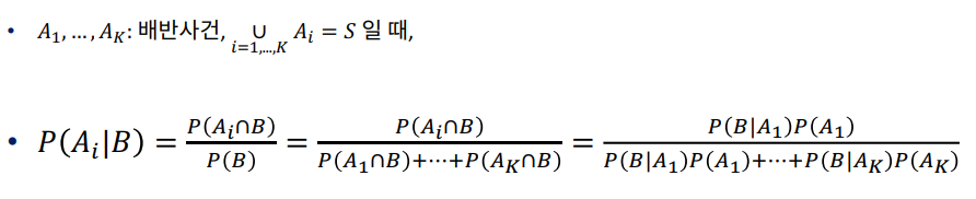
◎ Naive Bayes Classifier
- 설명변수 간의 독립을 가정
- 설명변수와 반응변수를 분리하여 생각



※ 위의 경우 Yes와 No를 비교하여 큰 경우의 수를 선택



Naive Bayes 실습¶
1. Gaussian Naive Bayes¶
- 데이터, 모듈 불러오기
In [1]:
from sklearn import datasets
from sklearn.naive_bayes import GaussianNB
In [2]:
import pandas as pd
In [3]:
iris = datasets.load_iris()
df_X=pd.DataFrame(iris.data)
df_Y=pd.DataFrame(iris.target)
In [4]:
df_X.head()
Out[4]:
| 0 | 1 | 2 | 3 | |
|---|---|---|---|---|
| 0 | 5.1 | 3.5 | 1.4 | 0.2 |
| 1 | 4.9 | 3.0 | 1.4 | 0.2 |
| 2 | 4.7 | 3.2 | 1.3 | 0.2 |
| 3 | 4.6 | 3.1 | 1.5 | 0.2 |
| 4 | 5.0 | 3.6 | 1.4 | 0.2 |
In [5]:
df_Y.head()
Out[5]:
| 0 | |
|---|---|
| 0 | 0 |
| 1 | 0 |
| 2 | 0 |
| 3 | 0 |
| 4 | 0 |
- 모델 피팅
In [6]:
gnb=GaussianNB()
fitted=gnb.fit(iris.data,iris.target)
y_pred=fitted.predict(iris.data)
In [8]:
fitted.predict_proba(iris.data)[[1,48,51,100]] # 0,1,2를 맞출 각각의 확률
Out[8]:
array([[1.00000000e+000, 1.51480769e-017, 2.34820051e-025],
[1.00000000e+000, 2.63876217e-018, 2.79566024e-025],
[7.27347795e-102, 9.45169639e-001, 5.48303606e-002],
[3.23245181e-254, 6.35381031e-011, 1.00000000e+000]])
In [7]:
fitted.predict(iris.data)[[1,48,51,100]]
Out[7]:
array([0, 0, 1, 2])
- Confusion matrix 구하기
In [8]:
from sklearn.metrics import confusion_matrix
In [9]:
confusion_matrix(iris.target,y_pred)
Out[9]:
array([[50, 0, 0],
[ 0, 47, 3],
[ 0, 3, 47]], dtype=int64)
- Prior 설정하기
In [10]:
gnb2=GaussianNB(priors=[1/100,1/100,98/100]) #특정 범주일 확률 설정
fitted2= gnb2.fit(iris.data,iris.target)
y_pred2=fitted2.predict(iris.data)
confusion_matrix(iris.target,y_pred2)
# 2번쨰 범주의 오차가 커짐을 확인할 수 있다
Out[10]:
array([[50, 0, 0],
[ 0, 33, 17],
[ 0, 0, 50]], dtype=int64)
In [11]:
gnb2=GaussianNB(priors=[1/100,98/100,1/100])
fitted2= gnb2.fit(iris.data,iris.target)
y_pred2=fitted2.predict(iris.data)
confusion_matrix(iris.target,y_pred2)
# 3번쨰 범주의 오차가 커짐을 확인할 수 있다
Out[11]:
array([[50, 0, 0],
[ 0, 50, 0],
[ 0, 14, 36]], dtype=int64)
2. Multinomial naive bayes¶
- 모듈 불러오기 및 데이터 생성
In [12]:
from sklearn.naive_bayes import MultinomialNB
In [13]:
import numpy as np
In [14]:
X = np.random.randint(5, size=(6, 100))
y = np.array([1, 2, 3, 4, 5, 6])
In [15]:
X
Out[15]:
array([[2, 1, 4, 3, 1, 2, 0, 4, 4, 0, 0, 3, 3, 4, 4, 4, 2, 4, 4, 2, 3, 0,
3, 1, 0, 3, 3, 0, 1, 2, 1, 0, 4, 1, 0, 0, 0, 3, 2, 2, 0, 0, 4, 3,
3, 3, 2, 0, 1, 4, 3, 0, 2, 1, 0, 3, 4, 2, 4, 3, 2, 3, 4, 4, 0, 4,
2, 1, 4, 4, 3, 4, 0, 2, 2, 0, 2, 2, 2, 2, 0, 0, 0, 3, 4, 1, 2, 4,
3, 1, 4, 3, 1, 1, 3, 3, 3, 1, 4, 2],
[1, 2, 1, 3, 3, 1, 4, 0, 4, 1, 2, 2, 3, 4, 1, 1, 3, 4, 2, 4, 1, 3,
2, 2, 1, 2, 1, 0, 2, 2, 2, 2, 0, 3, 1, 3, 1, 2, 2, 1, 0, 2, 3, 1,
1, 0, 4, 1, 0, 2, 0, 4, 2, 1, 4, 2, 1, 3, 2, 4, 3, 2, 0, 0, 2, 2,
4, 4, 0, 0, 4, 0, 3, 0, 1, 3, 1, 4, 4, 1, 0, 1, 2, 0, 1, 4, 4, 3,
0, 1, 3, 3, 4, 2, 2, 2, 0, 2, 3, 1],
[4, 3, 4, 3, 3, 3, 2, 1, 3, 4, 3, 0, 2, 0, 0, 1, 1, 0, 0, 3, 4, 2,
0, 2, 1, 2, 4, 2, 4, 1, 3, 4, 1, 3, 1, 0, 0, 2, 1, 2, 3, 0, 2, 3,
2, 3, 1, 4, 0, 2, 2, 1, 4, 2, 4, 0, 4, 4, 1, 4, 4, 4, 1, 1, 0, 0,
3, 4, 4, 4, 4, 0, 4, 3, 4, 2, 0, 0, 2, 4, 4, 3, 3, 4, 2, 0, 0, 3,
3, 0, 3, 0, 3, 4, 0, 1, 1, 4, 3, 2],
[1, 1, 1, 1, 2, 4, 0, 3, 0, 2, 4, 1, 0, 0, 1, 2, 0, 2, 0, 3, 1, 4,
1, 4, 0, 1, 3, 4, 4, 0, 2, 3, 2, 3, 0, 2, 3, 0, 1, 0, 3, 4, 3, 4,
0, 0, 2, 3, 3, 3, 4, 3, 2, 3, 0, 3, 0, 4, 0, 2, 1, 3, 1, 0, 0, 4,
4, 2, 1, 4, 4, 4, 3, 0, 1, 2, 3, 0, 3, 0, 3, 2, 4, 0, 4, 4, 3, 1,
4, 0, 2, 1, 2, 4, 4, 2, 3, 0, 0, 4],
[0, 2, 4, 2, 2, 2, 4, 4, 4, 2, 2, 4, 0, 3, 3, 3, 0, 3, 4, 2, 2, 2,
2, 3, 4, 0, 4, 4, 0, 4, 0, 4, 0, 0, 4, 3, 4, 2, 3, 2, 4, 4, 3, 0,
3, 3, 3, 3, 3, 1, 1, 2, 4, 4, 2, 1, 3, 0, 1, 2, 0, 0, 1, 2, 0, 0,
4, 1, 3, 1, 0, 3, 3, 2, 0, 0, 2, 4, 0, 0, 4, 0, 3, 4, 0, 1, 1, 2,
1, 0, 3, 1, 4, 4, 4, 1, 4, 1, 0, 0],
[3, 4, 2, 4, 4, 2, 0, 4, 3, 0, 1, 1, 1, 1, 4, 3, 4, 2, 2, 2, 1, 0,
0, 2, 4, 0, 2, 2, 4, 1, 4, 1, 4, 2, 3, 4, 3, 0, 2, 3, 4, 3, 3, 2,
1, 0, 3, 3, 4, 3, 3, 3, 1, 3, 0, 0, 3, 3, 1, 3, 4, 4, 0, 3, 1, 0,
2, 4, 0, 4, 0, 0, 2, 4, 1, 2, 1, 3, 3, 2, 3, 1, 0, 1, 1, 4, 1, 1,
2, 3, 4, 2, 2, 4, 2, 0, 2, 3, 2, 1]])
In [16]:
y
Out[16]:
array([1, 2, 3, 4, 5, 6])
- Multinomial naive bayes 모델 생성
In [17]:
clf = MultinomialNB()
clf.fit(X, y)
Out[17]:
MultinomialNB()
In [18]:
print(clf.predict(X[2:3]))
[3]
In [19]:
clf.predict_proba(X[2:3])
Out[19]:
array([[1.50000380e-41, 4.53274426e-37, 1.00000000e+00, 1.14271194e-36,
4.86645418e-44, 1.06114129e-33]])
- prior 변경해보기
In [22]:
clf2 = MultinomialNB(class_prior=[0.1,0.1999,0.0001,0.1,0.1,0.1])
clf2.fit(X, y)
Out[22]:
MultinomialNB(class_prior=[0.1, 0.1999, 0.0001, 0.1, 0.1, 0.1])
In [23]:
clf2.predict_proba(X[2:3]) # 2번째에 prior를 높게 주어 값이 높아졌다.
Out[23]:
array([[1.50000380e-38, 9.06095578e-34, 1.00000000e+00, 1.14271194e-33,
4.86645418e-41, 1.06114129e-30]])
In [21]:
from IPython.core.display import display, HTML
display(HTML("<style>.container {width:80% !important;}</style>"))
728x90
'Data scientist > Machine Learning' 카테고리의 다른 글
| LDA + Python_Code (0) | 2021.08.25 |
|---|---|
| K-NN + Python_Code (0) | 2021.08.25 |
| PCA + Python_Code (0) | 2021.08.23 |
| 회귀분석(4)_로지스틱 회귀분석 (0) | 2021.08.21 |
| 회귀분석(3)_변수선택법 Code (0) | 2021.08.21 |